2012年電氣工程師考試考前訓練每天一練7.16
更新時間:2012-07-16 13:59:49
來源:|0
瀏覽
收藏
電氣工程師報名、考試、查分時間 免費短信提醒
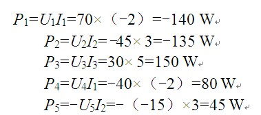
1. 題圖所示電路中,5個元件代表電源或負載。通過實驗測量得知:I1=-2A,I 2=3A,I 3=5A,U1=70V,U2=-45V,U3=30V,U4=-40V,U 5=-15V。判斷那些元件是電源;那些元件是負載?

(A)1、2電源 3、4、5負載
(B)2、3、4 電源 1、5負載
(C)2、3電源 1、3、5負載
(D)1、5電源 2、3、4負載
答案:A
解:按實際方向判斷元件的狀態(tài):U、I關聯(lián)者為負載,U、I非關聯(lián)者為電源。據此可判斷元件1、2為電源,元件3、4為負載。也可用的方法判斷如下:

因為P1<0、P2<0,故元件1、2為電源;P3>0、P4>0、P5>0,故元件3、4、5為負載。
編輯推薦
最新資訊
- 2025年注冊電氣工程師考試題練習2025-06-13
- 2025年注冊電氣工程師考試試題練習2025-04-30
- 2024年電氣工程師考試試題及答案2024-10-13
- 24年注冊電氣工程師考試試題2024-07-30
- 注冊電氣工程師模擬考試試題2023-04-20
- 2022年注冊電氣工程師試題與答案2022-04-27
- 2022年電氣助理工程師考試題及答案2022-04-21
- 注冊電氣工程師證含金量高嗎2022-04-20
- 2022年電氣工程師考試題及答案2022-04-20
- 2022年電氣工程師試題與答案2022-04-18



